ROHDE & SCHWARZ 로데슈바르츠 로데슈바르즈 NRPxxS/SN/SN-V 3-Path 파워 센서 (가격문의)
로데슈바르즈
ROHDE & SCHWARZ NRPxxS/SN/SN-V 3-Path 파워 센서
ROHDE & SCHWARZ NRPxxS/SN/SN-V 3-Path Power Sensors
- CW 및 변조 신호에 대한 빠르고 정확한 파워 측정
- 100,000 readings/s
- LAN 및 USB를 통한 제어 및 모니터링
- High-power 애플리케이션용 센서
- R&S®NRX 본체를 이용한 유연한 작동
로데 슈바르즈 ・ ROHDE & SCHWARZ
NRPxxS/SN/SN-V
3-Path 파워센서
NRPxxS/SN/SN-V 3-Path Power Sensors
빠르고 정확한 성능 및 CW 및 변조 신호 측정 기능-
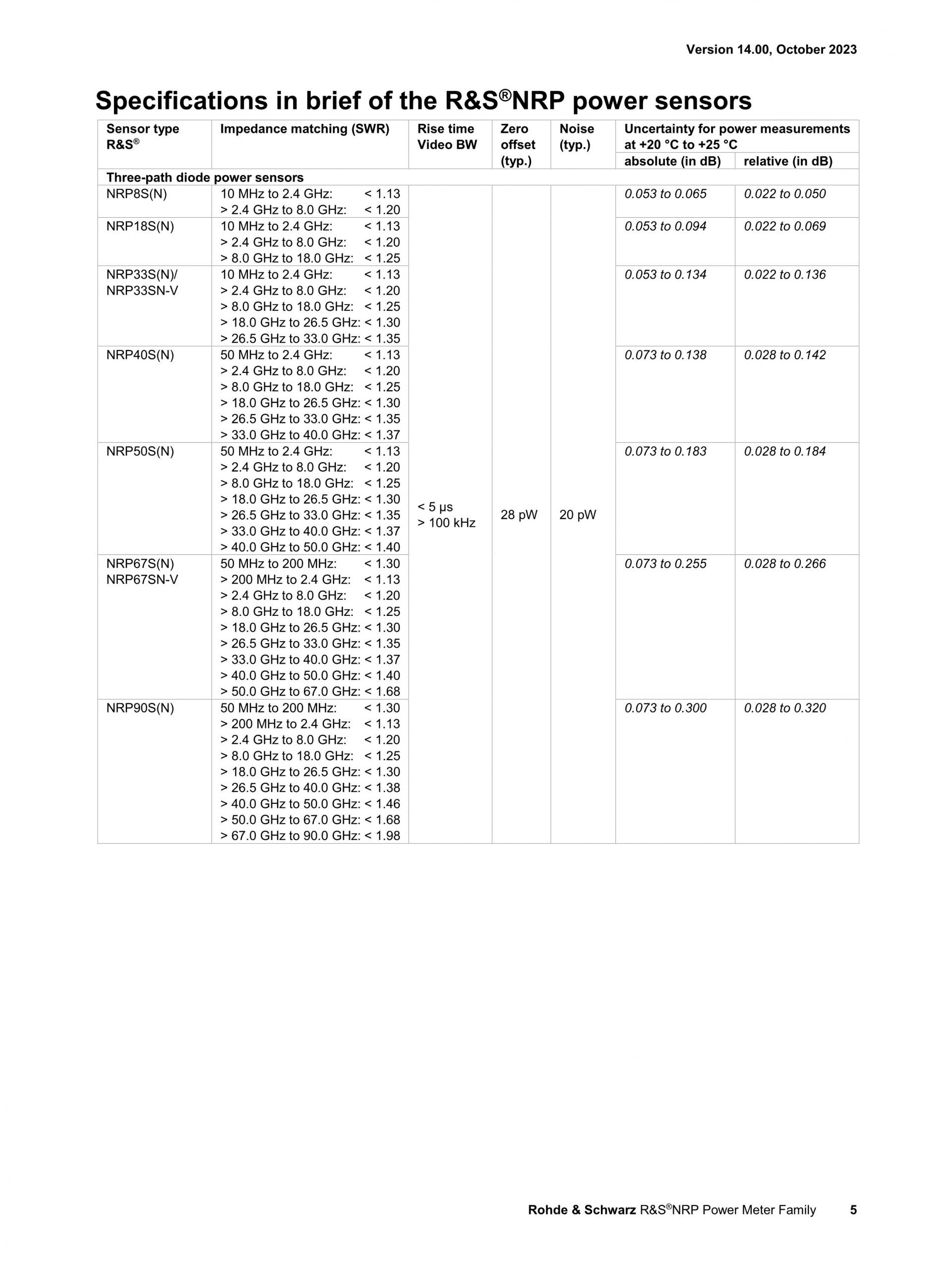
R&S®NRPxxS/SN Power Sensor는 각각 최적의 디텍터 범위에서 작동하는 3개의 다이오드 경로를 사용합니다. 이에 따라 변조 유형과 상관없이 매우 정확한 평균 전력을 확인할 수 있습니다. 측정 결과는 간섭 신호 또는 하모닉에 의해 거의 영향을 받지 않습니다. 따라서 R&S®NRPxxS/SN Power Sensor는 Thermal 파워 센서와 유사한 방식으로 작동하지만 훨씬 빠른 속도를 제공합니다. –70dBm의 매우 낮은 측정 한도로 최대 93dB 다이내믹 레인지를 제공합니다.
범용 파워 센서
3-path 다이오드 파워 센서는 average, burst average, timeslot average, gate average, trace에 대한 연속 측정을 지원하여 다양한 애플리케이션에 적합합니다. 이러한 센서는 뛰어난 성능, 최고의 측정 속도와 정확도를 갖추고 있어 GSM, 3GPP와 같은 무선 신호뿐만 아니라 LTE, LTE-Advanced, 5G와 같은 높은 대역폭 신호에서도 정밀한 평균 전력을 측정하는 데 사용 가능합니다. |
R&S®NRPxxS(N) 제품군의 일부에 불과합니다. |
93dB 다이내믹 레인지
R&S®NRPxxS(N) Power Sensor는 각각 최적의 디텍터 범위에서 작동하는 3개의 다이오드 경로를 사용합니다. 평균 출력은 변조 유형과 상관없이 매우 정확하게 확인할 수 있습니다. 측정 결과는 간섭 신호 또는 하모닉에 의해 거의 영향을 받지 않습니다. R&S®NRPxxS(N) Power Sensor는 Thermal 파워 센서와 유사한 방식으로 작동하지만 훨씬 빠른 속도와 최대 93dB 다이내믹 레인지를 제공합니다. |
|
최고의 측정 속도 및 정확도
낮은 레벨에서 측정 정확도를 높이려면 복수의 측정값을 평균화해야 합니다. 평균화로 인해 노이즈 성분이 감소할 수 있지만 측정 속도도 느려집니다. 따라서 R&S®NRPxxS(N) Power Sensor는 기본적으로 매우 낮은 측정 노이즈로 설계되었습니다. R&S®NRPxxS(N) Power Sensor는 현재 시장에 출시된 동종 기기 중 가장 높은 속도와 정확성으로 최저 –70dBm까지 측정을 수행할 수 있습니다. |
새로운 fast 모드
빠른 continuous average 모드에서 R&S®NRPxxS(N) Power Sensor는 초당 최대 100,000 트리거 측정을 수행할 수 있으며 어떤 측정도 손실하지 않고 최소 100µs 이상의 트리거 반복 시간을 유지합니다. 이 측정 속도는 buffered 모드를 사용하여 달성할 수 있습니다. buffered 모드에서 측정된 모든 데이터는 센서 내에 수집되어 센서의 호스트로 한 개 블록으로 전송됩니다. R&S®NRPxxS(N) 센서는 시간 제한 없이 새로운 fast 모드를 수행합니다! |
High-power 애플리케이션용 센서
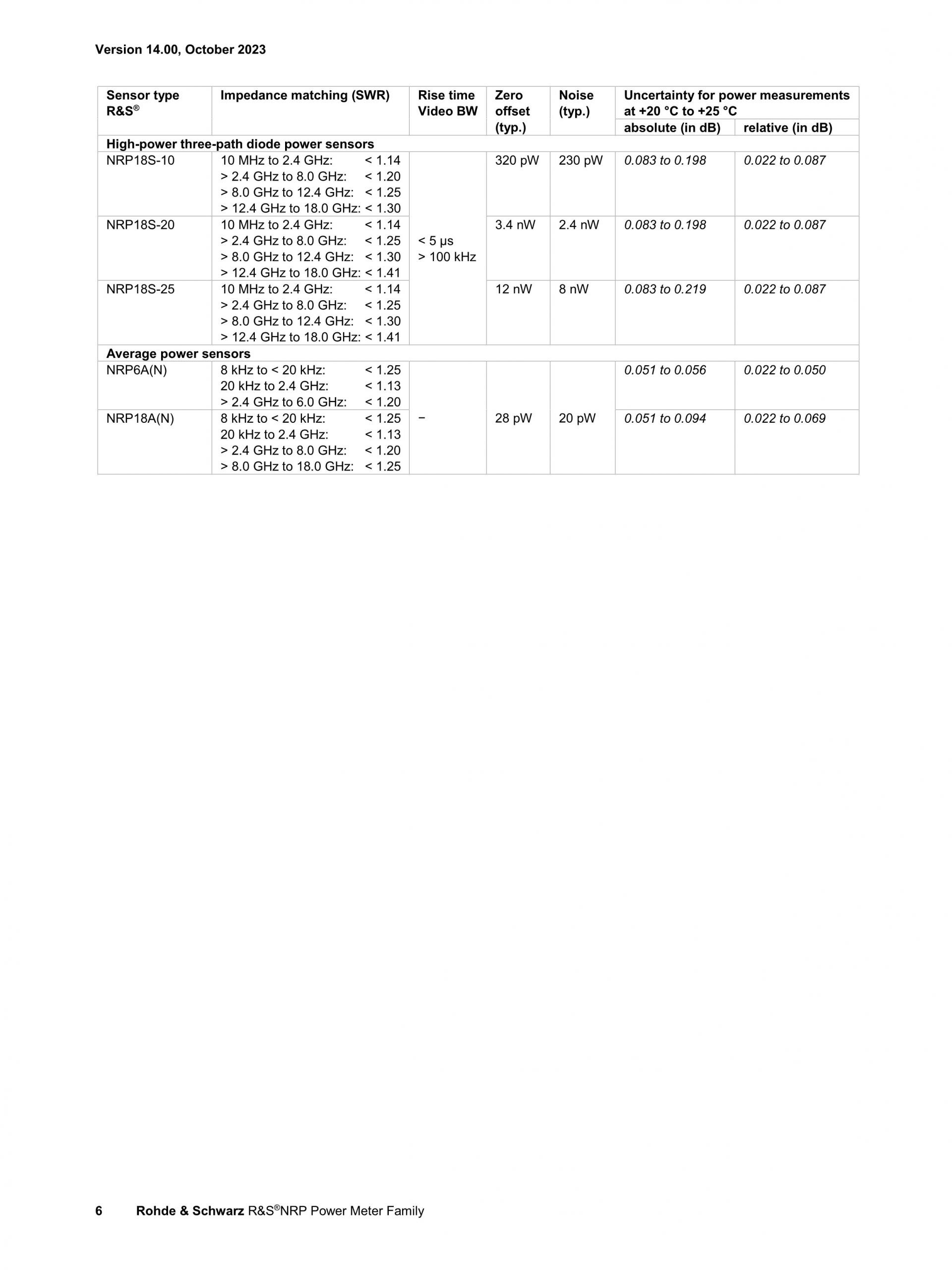
R&S®NRP18S-10, R&S®NRP18S-20, R&S®NRP18S-25 High-power Three-path Diode Power Sensor는 R&S®NRP18S 및 10/20/25dB 업스트림 감쇠기로 구성되어 있습니다. 최대 2W, 15W, 30W까지 출력 측정이 가능합니다. 감쇠기와 함께 사용할 경우 센서와 감쇠기 간 불일치 오류가 자동으로 수정됩니다. 감쇠기의 S-파라미터는 생산 중 결정되어 센서에 저장됩니다. |
|
TVAC-호환 3-path 다이오드 파워 센서
R&S®NRPxxSN-V TVAC-호환 파워 센서는 최대 67GHz의 주파수 대역에서 위성 통신 애플리케이션용으로 설계되었습니다. 생산 프로세스 도중 모든 구성요소가 진공 챔버에서 베이킹되므로 기체 방출이 최소한으로 줄어듭니다. 이러한 파워 센서는 LAN 기능이 탑재되어 있어 챔버 밖에서 손쉽게 제어 및 모니터링이 가능하며 하우징의 통풍구는 압력 이퀄라이제이션을 보장합니다. |
|
























































ROHDE & SCHWARZ 로데슈바르즈 NRPxxS/SN/SN-V 3-Path 파워 센서

NRP8S NRP8SN NRP18S NRP18SN NRP33S NRP33SN NRP40S NRP40SN NRP50S NRP50SN NRP67S NRP67SN NRP18S-10 NRP18S-20 NRP18S-25 NRP90S NRP90S NRP90SN NRP33SN-V NRP67SN-V R&S NRP8S R&S NRP8SN R&S NRP18S R&S NRP18SN R&S NRP33S R&S NRP33SN R&S NRP40S R&S NRP40SN R&S NRP50S R&S NRP50SN R&S NRP67S R&S NRP67SN R&S NRP18S-10 R&S NRP18S-20 R&S NRP18S-25 R&S NRP90S R&S NRP90S R&S NRP90SN R&S NRP33SN-V R&S NRP67SN-V
로데 슈바르즈 ・ ROHDE & SCHWARZ
NRPxxS/SN/SN-V
3-Path 파워센서
NRPxxS/SN/SN-V 3-Path Power Sensors
빠르고 정확한 성능 및 CW 및 변조 신호 측정 기능-
R&S®NRPxxS/SN Power Sensor는 각각 최적의 디텍터 범위에서 작동하는 3개의 다이오드 경로를 사용합니다. 이에 따라 변조 유형과 상관없이 매우 정확한 평균 전력을 확인할 수 있습니다. 측정 결과는 간섭 신호 또는 하모닉에 의해 거의 영향을 받지 않습니다. 따라서 R&S®NRPxxS/SN Power Sensor는 Thermal 파워 센서와 유사한 방식으로 작동하지만 훨씬 빠른 속도를 제공합니다. –70dBm의 매우 낮은 측정 한도로 최대 93dB 다이내믹 레인지를 제공합니다.
범용 파워 센서
3-path 다이오드 파워 센서는 average, burst average, timeslot average, gate average, trace에 대한 연속 측정을 지원하여 다양한 애플리케이션에 적합합니다. 이러한 센서는 뛰어난 성능, 최고의 측정 속도와 정확도를 갖추고 있어 GSM, 3GPP와 같은 무선 신호뿐만 아니라 LTE, LTE-Advanced, 5G와 같은 높은 대역폭 신호에서도 정밀한 평균 전력을 측정하는 데 사용 가능합니다. |
R&S®NRPxxS(N) 제품군의 일부에 불과합니다. |
93dB 다이내믹 레인지
R&S®NRPxxS(N) Power Sensor는 각각 최적의 디텍터 범위에서 작동하는 3개의 다이오드 경로를 사용합니다. 평균 출력은 변조 유형과 상관없이 매우 정확하게 확인할 수 있습니다. 측정 결과는 간섭 신호 또는 하모닉에 의해 거의 영향을 받지 않습니다. R&S®NRPxxS(N) Power Sensor는 Thermal 파워 센서와 유사한 방식으로 작동하지만 훨씬 빠른 속도와 최대 93dB 다이내믹 레인지를 제공합니다. |
|
최고의 측정 속도 및 정확도
낮은 레벨에서 측정 정확도를 높이려면 복수의 측정값을 평균화해야 합니다. 평균화로 인해 노이즈 성분이 감소할 수 있지만 측정 속도도 느려집니다. 따라서 R&S®NRPxxS(N) Power Sensor는 기본적으로 매우 낮은 측정 노이즈로 설계되었습니다. R&S®NRPxxS(N) Power Sensor는 현재 시장에 출시된 동종 기기 중 가장 높은 속도와 정확성으로 최저 –70dBm까지 측정을 수행할 수 있습니다. |
새로운 fast 모드
빠른 continuous average 모드에서 R&S®NRPxxS(N) Power Sensor는 초당 최대 100,000 트리거 측정을 수행할 수 있으며 어떤 측정도 손실하지 않고 최소 100µs 이상의 트리거 반복 시간을 유지합니다. 이 측정 속도는 buffered 모드를 사용하여 달성할 수 있습니다. buffered 모드에서 측정된 모든 데이터는 센서 내에 수집되어 센서의 호스트로 한 개 블록으로 전송됩니다. R&S®NRPxxS(N) 센서는 시간 제한 없이 새로운 fast 모드를 수행합니다! |
High-power 애플리케이션용 센서
R&S®NRP18S-10, R&S®NRP18S-20, R&S®NRP18S-25 High-power Three-path Diode Power Sensor는 R&S®NRP18S 및 10/20/25dB 업스트림 감쇠기로 구성되어 있습니다. 최대 2W, 15W, 30W까지 출력 측정이 가능합니다. 감쇠기와 함께 사용할 경우 센서와 감쇠기 간 불일치 오류가 자동으로 수정됩니다. 감쇠기의 S-파라미터는 생산 중 결정되어 센서에 저장됩니다. |
|
TVAC-호환 3-path 다이오드 파워 센서
R&S®NRPxxSN-V TVAC-호환 파워 센서는 최대 67GHz의 주파수 대역에서 위성 통신 애플리케이션용으로 설계되었습니다. 생산 프로세스 도중 모든 구성요소가 진공 챔버에서 베이킹되므로 기체 방출이 최소한으로 줄어듭니다. 이러한 파워 센서는 LAN 기능이 탑재되어 있어 챔버 밖에서 손쉽게 제어 및 모니터링이 가능하며 하우징의 통풍구는 압력 이퀄라이제이션을 보장합니다. |
|
























































ROHDE & SCHWARZ 로데슈바르즈 NRPxxS/SN/SN-V 3-Path 파워 센서

NRP8S NRP8SN NRP18S NRP18SN NRP33S NRP33SN NRP40S NRP40SN NRP50S NRP50SN NRP67S NRP67SN NRP18S-10 NRP18S-20 NRP18S-25 NRP90S NRP90S NRP90SN NRP33SN-V NRP67SN-V R&S NRP8S R&S NRP8SN R&S NRP18S R&S NRP18SN R&S NRP33S R&S NRP33SN R&S NRP40S R&S NRP40SN R&S NRP50S R&S NRP50SN R&S NRP67S R&S NRP67SN R&S NRP18S-10 R&S NRP18S-20 R&S NRP18S-25 R&S NRP90S R&S NRP90S R&S NRP90SN R&S NRP33SN-V R&S NRP67SN-V
[ GOODMAN SYSTEM ]
010 7574 9841
평일 AM 9:00 ~ PM 6:00 (공휴일제외)
상호 : 굿맨시스템
대표 : 류철환
사업자등록번호 : 827-67-00543
주소 : 서울특별시 마포구 성미산로1길 61, 1동 1층 101호 (성산동, 용하빌딩)
연락처 : 070 8800 8282
이메일 : ryukurt8282@naver.com
입금계좌 : 우리은행 1005 104 525723 류철환(굿맨시스템)
통신판매업신고번호 : 2023-서울마포-2080
팩스번호 : 02 6008 6638

혁신적 3-path 방식
